
| MAILORDERDAILY.COM ADVERTISING RATES |
| Classified ad (35 words or less) .................................................................. $1 for 6 months |
| 1", 2" or 3" single column display ad .......................................................... $2 for 6 months |
| Single-sided 8 X 11 circular or ad sheet ...................................................... $3 for 6 months |
| Double-sided 8 X 11 circular or ad sheet .................................................... $5 for 6 months |
| Mail order services directory listing ............................... $1.50 - $3.00 per month. See rates | .
| CLICK HERE FOR ADVERTISING ORDER FORM |
| COMMENTS FROM THE PUBLISHER |
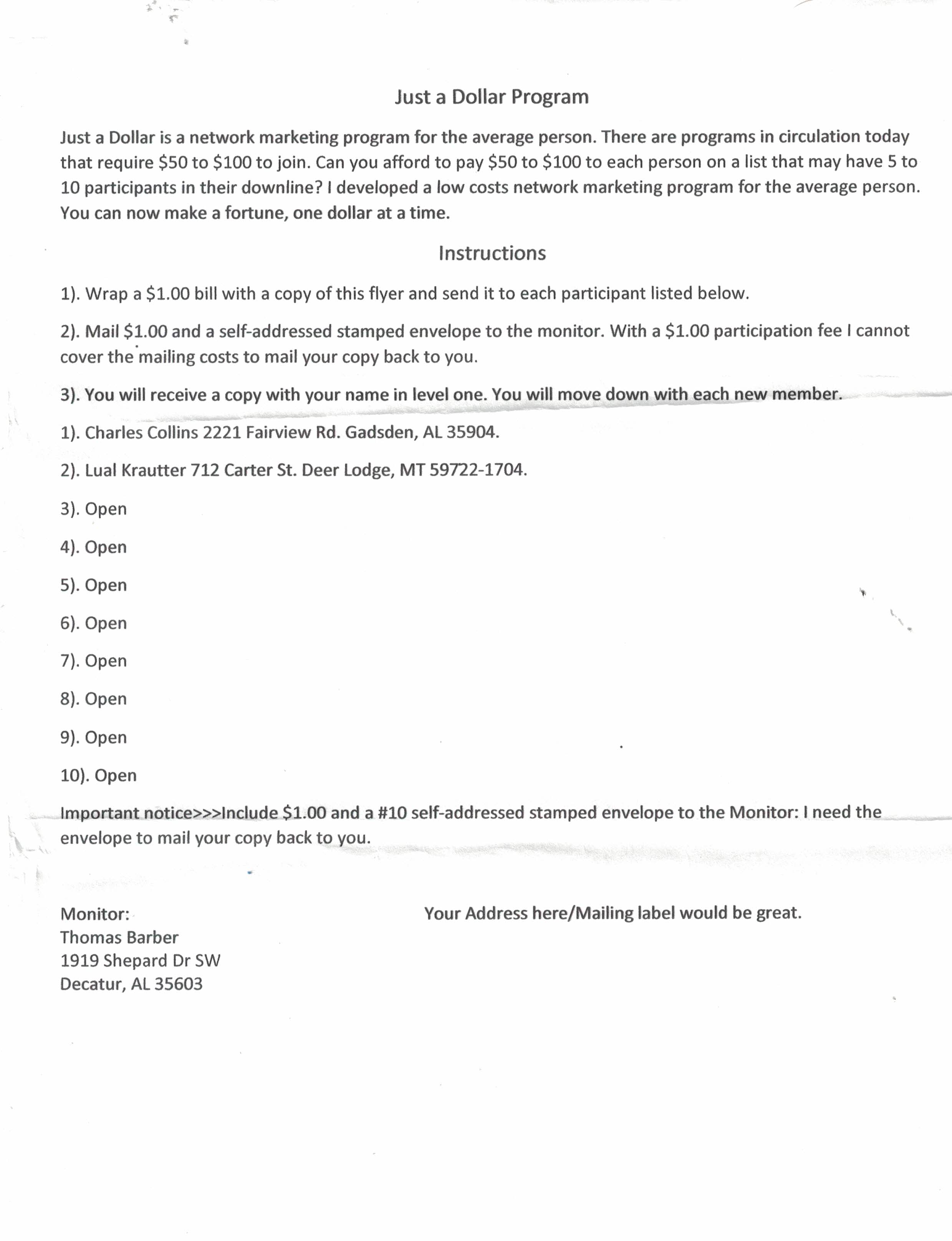
11/22/25 - NEW ADSHEET LAUNCHED. The Ad Blaster. 6500+ guaranteed circulation. Shore To Shore (5000), Liberty Press (1000), JBR Home Mailer (500), MailOrderDaily.com (unlimited). All 4 publications for only $7 per C/R inch. Send ads and payment to: Darin Forey, PO Box 530008, Saint Pete FL 33747 11/3/25 - TRAVEL ALERT: I have been informed by mail order dealer Charles Collins of Gadsden, AL that he will be out of town from mid October 2025 until mid February 2026. No orders will be filled until his return. 10/4/25 - The BRAND NEW mail order services directory is now live. You can check it out near the bottom of the page or Click here for more details. 9/13/25 - Want your very own mail dealer webpage? Get your name added to the mail dealer directory. Visit MailDealers.com |





Click here to respond | Click here to respond | Click here to respond | |||
LHewitt70/page10 Click here to respond | Click here to respond | Click here to respond | |||
Click here to respond |


Click here to respond |
Click here to respond |
Click here to respond | |||
Click here to respond |
Click here to respond |
Click here to respond | |||
Click here to respond |
Click here to respond |
Click here to respond | |||


![]() The Ad Blaster. 6500+ guaranteed circulation. Published in Shore To Shore, Liberty Press, JBR Home Mailer and online at www.MailOrderDaily.com. $7 per camera-ready inch. Publisher: Darin Forey, PO Box 530008, St. Pete FL 33747 The Fast 100 Ad Sheet. 100 circulation by first class mail plus unlimited online circulation at www.adsheets.net. $1 per camera-ready inch. Darin Forey, PO Box 530008, St. Pete FL 33747 Your listing here. Click for details ![]() Your listing here. Click for details ![]() 180 hot names on paper $8 or peel and stick labels $15. Darin Forey, PO Box 530008, Saint Pete FL 33747 Your listing here. Click for details | ![]() Your 8x11 circular or ad sheet (B&W) printed and mailed to 100 circulation. single-sided $12, double-sided $22. Darin Forey, PO Box 530008, St. Pete FL 33747 Your listing here. Click for details ![]() Your listing here. Click for details ![]() Your listing here. Click for details | ![]() Your 90 words or less typeset in to a 3" camera ready ad. You receive 9 copies of your new ad. $4 + 1 F/C stamp. Darin Forey, PO Box 530008, St. Pete FL 33747 Your 30 words or less typeset in to a 1" camera ready ad. You receive 9 copies of your new ad. $2 + 1 F/C stamp. Darin Forey, PO Box 530008, St. Pete FL 33747 Your 60 words or less typeset in to a 2" camera ready ad. You receive 9 copies of your new ad. $3 + 1 F/C stamp. Darin Forey, PO Box 530008, St. Pete FL 33747 Your listing here. Click for details ![]() Your listing here. Click for details |
![]() |
|
|
| Sign
up to receive the latest offers,
opportunities, programs, ad sheets and publications by first class mail |